替罗非班治疗急性缺血性脑卒中疗效及安全性的荟萃分析
作者:
作者单位:

1.南京医科大学第二附属医院神经内科,江苏 南京 210003;2.南京医科大学第二附属医院全科医学科,江苏 南京 210003

作者简介:

郭欣雨(1999―),女,硕士研究生,主要从事脑血管病、中枢神经系统肿瘤的研究。Email:15169491956@163.com。

通信作者:

李云涛(1978―),男,副教授,硕士生导师,主要从事脑血管病、中枢神经系统肿瘤的研究。Email:liyuntao@njmu.edu.cn。

基金项目:

江苏省医院管理创新研究项目(JSYGY-3-2024-669);江苏省卫生健康委员会医学研究项目(M2022045)。


Efficacy and safety of tirofiban for acute ischemic stroke: a meta-analysis
Author:
Affiliation:

1.Department of Neurology, The Second Affiliated Hospital of Nanjing Medical University, Nanjing, Jiangshu 210003, China;2.Department of General Practice, The Second Affiliated Hospital of Nanjing Medical University, Nanjing, Jiangshu 210003, China

Fund Project:

  • 摘要
  • |
  • 图/表
  • |
  • 访问统计
  • |
  • 参考文献
  • |
  • 相似文献
  • |
  • 引证文献
  • |
  • 资源附件
  • |
  • 音频文件
  • |
  • 视频文件
    摘要:

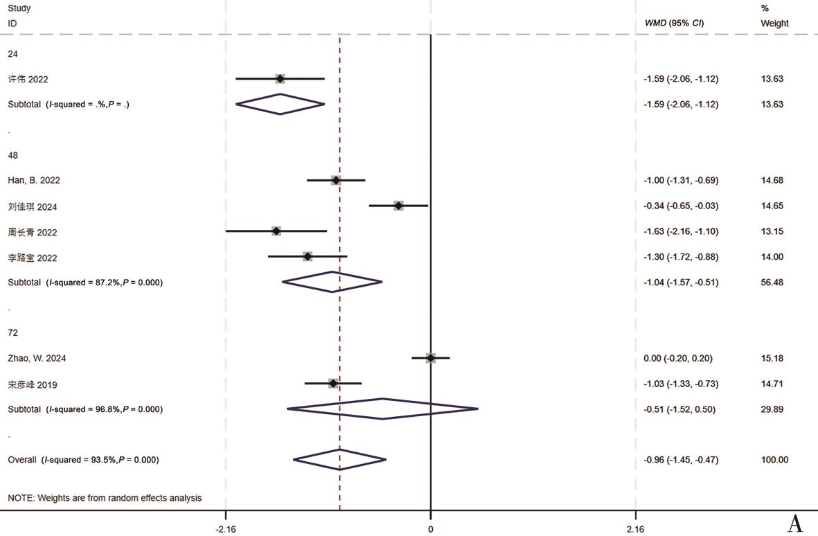
    目的 系统评价血小板GPⅡb/Ⅲa受体拮抗剂替罗非班治疗急性缺血性脑卒中(AIS)患者的有效性和安全性。方法 系统检索PubMed、Embase、Web of Science、Cochrane Library、中国知网、维普数据库和万方数据库中关于替罗非班与传统抗血小板药物[阿司匹林和(或)氯吡格雷]治疗AIS患者的安全性和有效性的结果。检索时限为从建库起至2024年6月。结果 共纳入12篇文献的1 948例患者。与传统抗血小板药物相比,替罗非班降低了患者24~72 h的美国国立卫生研究院卒中量表(NIHSS)评分[SMD(95%CI)=-1.58(-2.29,-0.86),P<0.001]、7~14 d的NIHSS评分[SMD(95%CI)=-1.53(-2.24,-0.82),P<0.001],以及90 d的改良Rankin量表(mRS)评分[WMD(95%CI)=-0.96(-1.45,-0.47),P<0.001],增加了90 d后预后良好(mRS评分0~2分)的患者比例[RR(95%CI)=1.12(1.02,1.23),P<0.001]。根据桥接传统抗血小板药物的时间,将其分为24 h、48 h和72 h进行亚组分析,结果显示,替罗非班治疗72 h后桥接传统抗血小板药物虽然在神经功能结局上优于对照组,但差异无统计学意义。两组患者的脑出血发生率、其他出血发生率、血小板减少发生率和病死率均无统计学意义。结论 与传统抗血小板药物相比,替罗非班能改善患者的神经功能预后,且不增加患者不良事件的发生。

    Abstract:

    Objective To systematically evaluate the efficacy and safety of the platelet GP Ⅱb/Ⅲa receptor antagonist tirofiban in patients with acute ischemic stroke (AIS).Methods A systematic search was conducted across PubMed, Embase, Web of Science, the Cochrane Library, CNKI, VIP, and Wanfang databases for studies comparing the safety and efficacy of tirofiban versus conventional antiplatelet agents (aspirin and/or clopidogrel) for treating patients with AIS. The search covered the period from inception to June 2024.Results A total of 1 948 patients from 12 publications were included. Compared with conventional antiplatelet agents, tirofiban reduced the National Institutes of Health Stroke Scale (NIHSS) scores at 24-72 hours [SMD (95%CI)=-1.58 (-2.29, -0.86), P<0.001], NIHSS scores at 7-14 days [SMD (95%CI)=-1.53 (-2.24, -0.82), P<0.001], and modified Rankin Scale (mRS) scores at 90 days [WMD (95%CI)=-0.96 (-1.45, -0.47), P<0.001], while increased the proportion of patients with a favorable prognosis (mRS scores of 0 to 2) at 90 days [RR (95%CI)=1.12 (1.02, 1.23), P<0.001]. Subgroup analysis based on the timing (24, 48, and 72 hours) of bridging to conventional antiplatelet therapy showed that although bridging conventional antiplatelet drugs after 72 hours of tirofiban treatment was superior to the control group in neurological outcomes, the differences were not statistically significant. There were no statistically significant differences in the incidence of cerebral hemorrhage, other bleeding events, thrombocytopenia, or mortality between the two groups.Conclusions Compared with conventional antiplatelet agents, tirofiban can improve the neurologic prognosis of patients without increasing their incidence of adverse events.

    图1 文献筛选流程图Fig.1
    图2 纳入研究偏倚风险评估散点图Fig.2
    图3 纳入研究偏倚风险评估百分图Fig.3
    图5 90 d的mRS评分和预后良好率森林图Fig.5
    参考文献
    相似文献
    引证文献
引用本文

郭欣雨,梁晨,徐培域,戴昕妤,李云涛456.替罗非班治疗急性缺血性脑卒中疗效及安全性的荟萃分析[J].国际神经病学神经外科学杂志,2025,52(4):17-26111GUO Xinyu, LIANG Chen, XU Peiyu, DAI Xinyu, LI Yuntao222. Efficacy and safety of tirofiban for acute ischemic stroke: a meta-analysis[J]. Journal of International Neurology and Neurosurgery,2025,52(4):17-26

复制
分享
文章指标
  • 点击次数:
  • 下载次数:
历史
  • 收稿日期:2025-03-05
  • 最后修改日期:2025-07-31
  • 录用日期:
  • 在线发布日期: 2025-09-16
关闭
关闭
关于作者收到不明邮件或短信的再次申明

关闭