2025, 52(5):1-8. DOI: 10.16636/j.cnki.jinn.1673-2642.2025.05.001
摘要:目的 研究维生素D3(VitD3)对抗蛛网膜下腔出血(SAH)后铁死亡减轻早期脑损伤(EBI)的效果。方法 实验分为体内和体外两部分,分别使用54只健康雄性SD大鼠和高分化PC12细胞。大鼠随机分为空白组、Vehicle组、VitD3组,每组18只。采用血管内刺破法建立SAH模型。大鼠在造模前24 h接受VitD3(100 ng/kg)或Vehicle腹腔注射,造模成功后2 h再次注射,空白组仅予麻醉处理。PC12细胞随机分为空白组、Hemin组、DMSO组、VitD3组,使用氯化血红素(Hemin)模拟血红蛋白对神经元细胞的影响,DMSO组及VitD3组在造模前24 h,使用含有DMSO(含量为0.01%)或VitD3 (100 nmol/L)的完全培养基孵育,空白组及Hemin组仅做换液处理。24 h后去除原有培养基溶液,使用Hemin刺激PC12细胞2 h,DMSO组及VitD3组,相应再次加入含原浓度DMSO或VitD3的培养基液。在造模完成后24 h,酶联免疫吸附分析检测脑组织和PC12细胞中丙二醛(MDA)和活性氧(ROS)含量,Western blotting检测过氧化物酶体增殖物激活受体γ(PPARγ)、核因子红细胞2相关因子2(Nrf2)、谷胱甘肽过氧化物酶4(GPX4)蛋白的表达情况,并通过透射电镜观察线粒体形态学改变,Liperfluo检测PC12细胞脂质过氧化物(LPO)的量,流式细胞仪检测细胞凋亡情况。结果 与Vehicle组相比,VitD3组大鼠MDA、ROS水平降低(
2025, 52(5):9-19. DOI: 10.16636/j.cnki.jinn.1673-2642.2025.05.002
摘要:目的 基于Scopus数据库对脑深部电刺激(DBS)与癫痫研究进行文献计量学和可视化分析,为临床提供参考。方法 在Scopus中以“DBS与癫痫”为主题词检索1960年1月1日至2024年5月16日发表的文献,并用VOSviewer和R软件的Bibliometrix工具包进行文献计量学和可视化分析,分析研究现状和趋势。同时以Web of Science核心合集数据库对2004—2024年的文献进行验证。结果 共纳入Scopus数据库的2 322篇文献,DBS与癫痫研究领域近20年发文量占总数90%以上,美国文献发文量982篇,中国220篇,第3~第5位国家发文量均不足200篇。发文量最多的作者是Lozano Andres M。发表文献被引用前5位国家是美国、加拿大、英国、法国、德国,中国排在第8位。基于Bibliometrix,该研究领域相关度最高的前5个机构是首都医科大学、梅奥诊所、加利福尼亚大学、多伦多大学、浙江大学。期刊分布显示Epilepsia[影响因子(IF)=6.6]、Epilepsy & Behavior(IF=2.3)及Brain Stimulation(IF=7.6)构成该领域的核心传播平台。关键词共现分析表明,“DBS临床应用”“难治性癫痫”“神经调控机制”“刺激参数优化”及“性别差异”为当前五大研究热点。结论 美国在该研究领域贡献度及关联度排首位,中国在该研究领域也有较重要贡献。已形成以临床神经科学为核心,融合生物医学工程、计算神经科学及分子机制研究的复合型知识体系。刺激靶点选择标准、闭环神经调控系统开发及多中心随机对照试验设计将成为未来重点突破方向。
2025, 52(5):20-26. DOI: 10.16636/j.cnki.jinn.1673-2642.2025.05.003
摘要:目的 探讨载脂蛋白E(ApoE)基因多态性与阿尔茨海默病(AD)患者肠道菌群的关系以及粪便微生物移植(FMT)的治疗效果。方法 纳入2023年1月至2024年12月黄河三门峡医院就诊的110例AD患者。检测患者的ApoE基因型,分为ApoE4携带组(ε3/ε4和ε4/ε4,58例)与非携带组(ε3/ε3,52例)。比较2组肠道菌群(肠球菌、大肠埃希菌、乳杆菌、双歧杆菌)及短链脂肪酸(乙酸、丙酸、丁酸、异丁酸)水平。另将患者分为试验组(55例,FMT胶囊+常规药物)与对照组(55例,安慰剂胶囊+常规药物)。比较2组患者的临床症状改善情况,通过临床痴呆评定量表(CDR)、蒙特利尔认知评估量表(MoCA)、匹兹堡睡眠质量指数(PSQI)、汉密尔顿抑郁量表(HAMD)、阿尔茨海默病协作研究日常能力量表(ADCS-ADL)、布里斯托粪便分型量表(BSFS)、胃肠道症状评定量表(GSRS)进行评估。比较试验组和对照组肠道的菌群分布和肠道菌群代谢产物。结果 ApoE4携带组肠球菌、大肠埃希菌数量高于非携带组,乳杆菌、双歧杆菌及短链脂肪酸水平低于非携带组(P<0.05)。FMT治疗后,试验组临床症状评分优于对照组,肠球菌、大肠埃希菌数量低于对照组,乳杆菌、双歧杆菌及短链脂肪酸水平高于对照组(P<0.05)。结论 AD患者中ApoE4携带者存在肠道菌群失衡,FMT可改善AD症状,并调节肠道菌群。
2025, 52(5):27-31. DOI: 10.16636/j.cnki.jinn.1673-2642.2025.05.004
摘要:目的 探讨柴胡疏肝散对中老年女性卒中后抑郁患者的疗效。方法 纳入上海中医药大学附属市中医医院诊断为卒中后抑郁的中老年女性患者(127例)作为研究对象。其中,西药对照组42例,中药观察组42例,中西医结合观察组43例。西药对照组在常规治疗基础上,每天服用盐酸舍曲林片;中药观察组在常规治疗的基础上,给予柴胡疏肝散治疗;中西医结合观察组在西药对照组的基础上,给予柴胡疏肝散治疗。3组治疗时间均为1个月。比较3组患者治疗前后汉密尔顿抑郁量表(HAMD)和匹兹堡睡眠质量量表(PSQI)评分,以及血清中5-羟色胺(5-HT)和去甲肾上腺素(NE)水平,并评估临床疗效。结果 治疗后3组患者的HAMD、PSQI评分低于治疗前,且中西医结合观察组患者的HAMD和PSQI评分低于西药对照组和中药观察组(P<0.05)。治疗后3组患者血清5-HT和NE水平较治疗前升高,且中西医结合观察组患者的5-HT和NE水平高于西药对照组和中药观察组(P<0.05)。中西医结合观察组临床总有效率高于西药对照组和中药观察组(P<0.05)。结论 柴胡疏肝散联合盐酸舍曲林能够有效改善中老年女性缺血性卒中后抑郁的抑郁情绪和睡眠障碍,作用机制可能与升高血清中的5-HT、NE水平有关。
2025, 52(5):32-38. DOI: 10.16636/j.cnki.jinn.1673-2642.2025.05.005
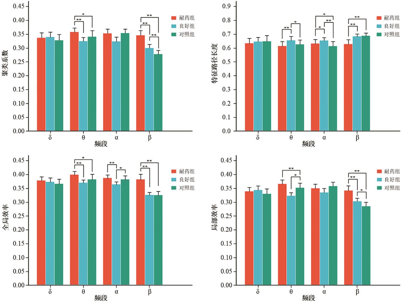
摘要:目的 探讨局灶性癫痫发作的脑电图特征及其与患者耐药的关系。方法 纳入2020年1月至2023年4月北京市隆福医院收治的86例局灶性癫痫患者作为研究对象,年龄20~80岁,平均(59.37±5.63)岁。将患者分为耐药组(52例)和良好组(34例),另纳入45名健康志愿者作为对照组。观察癫痫发作的脑电图(EEG)波形特征和癫痫发作不同阶段的时间分布和线性特征。利用皮尔逊相关系数评价EEG导联间的同步程度。对比3组基线资料和各频段EEG网络参数,绘制脑网络P值连接图,分析EEG与患者耐药性的关系。结果 在0.5~60 Hz采样率下,癫痫患者EEG棘波最为典型;在250 Hz采样率下,癫痫发作间期、发作前期及发作期各采样190 s的EEG时域波形,发现棘波数随着癫痫发作状态的过渡呈现动态阶段性变化趋势,随着癫痫发作的推进逐渐增多。局灶性癫痫发作间期和发作期的导联间同步性存在显著差异,与发作间期相比,发作期强相关的通道数量增多。将对照组、耐药组和良好组患者基线资料进行对比,耐药组患者病程、发病频率及既往用药种类数高于良好组(P<0.05)。在θ频段和β频段,3组的聚类系数、特征路径长度、全局效率及局部效率差异均具有统计学意义(P<0.05);在α频段,3组间特征路径长度和全局效率的差异具有统计学意义(P<0.05)。良好组和耐药组各频段,前头部及颞部耐药组短程连接增强。耐药组和对照组之间,β频段前头部耐药组长程连接增强,δ频段、θ频段和α频段前头部耐药组短程连接增强,各频段后头部耐药组短程连接均减弱。良好组和对照组比较,δ频段前头部良好组长程连接增强,各频段后头部良好组短程连接均减弱。结论 EEG信号特征分析可有效识别癫痫发作阶段。相较于对照组和良好组患者,耐药组患者的脑网络属性及拓扑结构发生了明显改变。耐药组患者的前头部脑网络连接增强。EEG网络研究可以帮助发现局灶性癫痫的耐药性。
2025, 52(5):39-43. DOI: 10.16636/j.cnki.jinn.1673-2642.2025.05.006
摘要:目的 探讨县区级医院前循环急性大血管闭塞性脑卒中(AIS-LVO)患者接受静脉溶栓桥接血管内治疗与直接血管内治疗的临床疗效差异及预后的影响因素。方法 回顾性纳入2021年3月至2024年9月珠海市第五人民医院收治的54例AIS-LVO患者作为研究对象。根据治疗方式分为桥接组(39例,进行阿替普酶/尿激酶溶栓后桥接取栓)和介入组(15例,因禁忌证直接进行血管内取栓)。主要结局为术后90 d改良Rankin量表(mRS)评分(有效:mRS评分0~4分;无效:mRS评分5~6分),次要结局包括血管再通率(mTICI分级≥2b)、症状性颅内出血(sICH)及术后(7±2) d的美国国立卫生研究院卒中量表(NIHSS)改善值。采用Firth校正Logistic回归分析评估预后独立预测因素。结果 桥接组90 d功能独立率(mRS评分0~4分)高于介入组(79.5% vs. 46.7%,P=0.043)。桥接治疗可降低90 d不良预后的风险(OR=0.22,P=0.032)。两组血管再通率(82.1% vs. 66.7%)和sICH发生率(7.7% vs. 13.3%)比较,差异无统计学意义(P>0.05)。术后90 d的mRS评分与术前NIHSS评分(ρ=0.46)、术后(7±2) d的NIHSS评分(ρ=0.81)和年龄(ρ=0.30)呈正相关(均P<0.05)。术后90 d的mRS评分与NIHSS评分改善值(ΔNIHSS)呈负相关(ρ=-0.58,P<0.001)。结论 在县区级医院条件下,桥接治疗较直接血管内治疗显著改善前循环AIS-LVO患者90 d的功能预后,且安全性相当。
2025, 52(5):44-48. DOI: 10.16636/j.cnki.jinn.1673-2642.2025.05.007
摘要:该文报道了2例成人型神经元核内包涵体病(NIID)患者的临床表现和影像学特征。患者年龄分别为70岁和72岁,其中,1例以幻听、妄想等精神症状为首发症状,另1例以急性意识障碍与下肢瘫痪为首发症状。头部磁共振成像均显示双侧额、顶、枕叶皮髓质交界区对称性曲线样弥散加权成像高信号“绸带征”,其中1例随访中出现小脑“鸡冠花样”高信号,提示疾病进展。基因检测1例显示NOTCH2NLC基因GGC重复次数为93次(全突变范围),支持NIID诊断。NIID的临床表现异质性强,易被误诊,结合特征性影像与基因检测可显著提高诊断准确性。建议对疑似患者尽早进行影像学及基因检测,必要时辅以皮肤活检,以实现早期诊断与早期干预。
2025, 52(5):49-54. DOI: 10.16636/j.cnki.jinn.1673-2642.2025.05.008
摘要:该文报道了系统性红斑狼疮(SLE)、可能抗磷脂综合征(APS)与视神经脊髓炎谱系疾病(NMOSD)在同一患者体内的重叠表现,并探讨三者可能的关联机制。患者,女性,57岁,病程可分为3个阶段:第一阶段表现为反复血小板减少,伴高滴度抗心磷脂抗体阳性;第二阶段出现双眼视力进行性下降直至失明,眼底检查可见双眼视神经萎缩,视神经磁共振成像(MRI)及脊髓MRI提示脱髓鞘病变;第三阶段则表现为双下肢麻木、皮肤瘀点及多系统受累,免疫学检查证实抗核抗体、抗双链DNA抗体及抗SSA抗体阳性。患者最终确诊为SLE合并可能APS及双阴性NMOSD。该病例显示SLE、APS及NMOSD可能通过免疫紊乱与血管损伤机制相互交织,共同促进疾病的发生发展。临床实践中,对于病程复杂且表现多样的患者,应警惕多种自身免疫病的重叠,结合临床表现、免疫学指标及影像学检查,进行全面评估和早期干预,可能有助于改善长期预后。
2025, 52(5):55-62. DOI: 10.16636/j.cnki.jinn.1673-2642.2025.05.009
摘要:椎动脉夹层动脉瘤(VADA)为颅内最常见的动脉夹层病变,其破裂可引发致命性蛛网膜下腔出血,对患者生命构成严重威胁,是临床处置中极具复杂性与挑战性的疾病亚型之一。治疗策略的制定常受多重因素制约,涵盖椎动脉解剖变异、动脉瘤破裂状态及其与小脑后下动脉的解剖关系等核心要素。现阶段,临床主要干预手段包括开颅手术与血管内治疗两大类别。随着血管内技术的迭代更新,特别是血流导向装置的持续革新,血管内治疗已逐步确立为VADA的重要治疗路径。其策略体系可归纳为解构性与重建性两类,前者通过阻断载瘤动脉或瘤腔以实现治疗目标;后者则借助支架辅助弹簧圈栓塞或血流导向装置植入,在维持血管通畅性的同时促进瘤体闭塞。近年来,血管内器械的升级与临床经验的累积持续推动VADA治疗策略的优化。该文系统综述VADA血管内治疗的最新研究进展及策略选择要点,旨在为临床治疗决策提供理论依据与实践参考。
2025, 52(5):63-71. DOI: 10.16636/j.cnki.jinn.1673-2642.2025.05.010
摘要:胶质瘤是中枢神经系统中最常见的原发性恶性肿瘤。铁死亡和铜死亡是细胞异常代谢所引发的2种细胞死亡机制,铁死亡通过脂质过氧化和氧化应激引发细胞死亡,而铜死亡则通过破坏线粒体代谢功能引发细胞死亡,两者均在胶质瘤的发生、发展及治疗中展现出重要作用。近年来的研究表明,通过调控谷胱甘肽过氧化物酶4(GPX4)通路可以靶向铁死亡来有效杀伤胶质瘤细胞,而通过调控二氢硫辛酰胺乙酰转移酶(DLAT)通路则可以靶向铜死亡来有效杀伤胶质瘤细胞,两种方法均可以克服部分传统治疗的耐药性。两者在代谢网络和肿瘤免疫微环境(TIME)中存在交叉并共同影响肿瘤进展,所以联合诱导铁死亡与铜死亡展现出协同增效的抗肿瘤前景。尽管相关的机制研究成果和纳米技术为临床应用提供了新策略,但生物毒性和血脑屏障的存在使纳米技术药物递送系统的临床转化面临挑战。系统梳理和总结该领域的研究进展,对推动科学研究和促进纳米技术药物递送系统改进具有重要意义。该文旨在综述近年来与铁死亡和铜死亡相关的分子机制以及两者在胶质瘤治疗中的应用,探讨相关基因作为诊断与预后标志物的临床应用价值,分析当前面临的主要挑战,展望未来发展方向。
2025, 52(5):72-82. DOI: 10.16636/j.cnki.jinn.1673-2642.2025.05.011
摘要:脊髓损伤(SCI)是一种高度致残的中枢神经系统损伤,属于世界性临床医学难题。脊髓的再生能力低、神经可塑性差,SCI后囊性空洞和胶质瘢痕阻断神经传导,SCI修复难度大,目前临床上尚无SCI的有效治疗方法。“脊髓融合术”是一项修复SCI的新技术,其主要通过融合剂、锋利的刀和电刺激加速神经融合及修复进程,促进神经轴突再生、重组完整的神经传导环路,最终达到修复SCI相应功能的目的。该文回顾了历年SCI相关研究,对“脊髓融合术”的内涵、重要研究进展及神经学机制进行综述并探讨,旨在助力早日攻克SCI修复难题,希望能为SCI截瘫治疗带来新的突破。
2025, 52(5):83-88. DOI: 10.16636/j.cnki.jinn.1673-2642.2025.05.012
摘要:睡眠纺锤波是一种特定的睡眠脑电图节律,在睡眠维持和记忆巩固中发挥重要作用。睡眠纺锤波特征的改变与认知功能下降和脑脊液病理物质蓄积息息相关。该综述旨在系统性梳理睡眠脑电图中睡眠结构改变与认知功能之间的联系,为阿尔茨海默病的早期识别及记忆功能改善的辅助治疗提供新的研究视角与思路。
2025, 52(5):89-94. DOI: 10.16636/j.cnki.jinn.1673-2642.2025.05.013
摘要:肘管综合征是一种常见的上肢周围神经压迫综合征,以尺神经支配区域感觉异常和手内在肌萎缩无力为主要表现,病情严重时可导致患者残疾,影响患者的日常生活。电生理检查包括肌电图和神经传导检查,是诊断肘管综合征的金标准,在评估尺神经功能状态中起着关键作用。近年来,高频超声和磁共振成像也逐渐与电生理结合应用到肘管综合征的诊断中,显著提高了诊断率。该文就当前电生理检查及影像学技术诊断肘管综合征的最新进展进行总结,以期为后续研究方向提供依据。
地址:湖南长沙市湘雅路87号 中南大学湘雅医院内
邮编:410008
电话:0731-84327401
传真:0731-84327401
E-mail: jinn@vip.163.com
网址:http://www.jinn.org.cn/
手机版网站二维码
微信公众号二维码
国际神经病学神经外科学杂志 ® 2026 版权所有 技术支持:北京勤云科技发展有限公司 总访问:

